Pubblicato il: 15-11-2024
Condividi
Condividi

I sistemi e gli ambienti in cui viviamo possono essere colpiti da shock improvvisi, come avvenuto con la pandemia di SarsCoV2. Per questo motivo è di fondamentale importanza comprendere come i sistemi rispondono a questi shock: o, detto altrimenti, il grado di resilienza di un sistema. Come si adattano gli agenti economici- ad esempio famiglie o imprese- a questi determinati shock? Sono in grado di recuperare un stato di equilibrio come prima dello shock?
Proprio sulla resilienza agli shock di famiglie e consumatori si incentra il lavoro dello Spoke 3, coordinato dal Professor Tullio Jappelli dell’Università Federico II di Napoli. Al progetto partecipano sia università - quella di Bari, Bergamo, Bologna, Cagliari, Padova, Palermo, Torino, Roma Tor Vergata- ma anche istituzioni esterne come EIEF, Ania, Prometeia, Intesa. L’obiettivo, come detto, è fornire dati e analisi sulla resilienza agli shock di famiglie e consumatori da inserire nella piattaforma Amelia.
È di fondamentale importanza sottolineare che il concetto di resilienza non riguarda l’assenza di vulnerabilità da parte del sistema. Per fare un esempio da un campo in cui il concetto è stato utilizzato intensamente, pensiamo proprio al caso di epidemie. Se un’epidemia colpisce una popolazione vulnerabile, vi sono vari fattori che possono influenzare la sua diffusione: il comportamento degli agenti, il rispetto delle regole di distanziamento sociale, le policy di sostegno economico messe in atto dai governi.
Lo stesso succede nei sistemi economici: vi sono degli strumenti che possono mitigare o ampliare la risposta agli shock da parte degli agenti economici. Istruzione e salute possono essere visti come strumenti ex ante per aumentare la resilienza degli agenti, mentre assicurazioni possono farlo ex post.
In questo articolo si da conto degli ultimi aggiornamenti sullo stato dell’arte della ricerca dello Spoke 3, per come sono stati forniti durante il recente evento di restituzione di settembre 2024.
Il WP 3.1 si interessa in particolare a una mappatura della domanda di servizi sanitari nel nostro Paese. In particolare, due sono i tipi di dati che vengono utilizzati: da una parte quelli forniti dai medici di base, dall’altra invece quelli forniti dal Servizio Sanitario Nazionale.
Questi dati saranno poi utilizzati per indagare due aspetti di grande importanza per il pubblico. In primo luogo l’effetto che ha la salute sul mercato del lavoro. Si tratta di una ricerca di estrema importanza vista la dinamica demografica seguita dal nostro paese.
Infatti, il declino demografico porterà a una popolazione sempre più anziana con conseguenti effetti sul mercato del lavoro che dovrà quindi adattarsi, almeno in un primo periodo, a questa situazione. In secondo luogo invece quelli sulla valutazione del sistema sanitario nel nostro paese. Anche in questo caso, la politica discute in maniera accesa sullo stato del nostro sistema sanitario. Avere quindi dati granulari da utilizzare per poter fornire una valutazione dello stato di salute del sistema sanitario è di fondamentale, vista anche l’importanza che questo ha per la popolazione.

Il WP3.2 invece si concentra sulle scelte in fatto di capitale umano, in particolare sui fattori sociali, istituzionali ed economici che lo influenzano. Sappiamo infatti quanto il capitale umano sia cruciale nella crescita di un paese. Il sistema educativo da anni soffre di vari problemi, come l’abbandono scolastico, e allo stesso tempo c’è il problema del mismatch tra domanda e offerta di lavoro, quindi le competenze richieste dal mondo del lavoro non combaciano con la formazione degli individui.
Per cercare di comprendere questi fattori i ricercatori e le ricercatrici si servono di un dataset che comprende dati amministrativi delle università; i dati messi a disposizione da AlmaLaurea; quelli del Ministero dell’Istruzione, oltre ai test standardizzati (INVALSI) e a survey ad hoc riguardanti le dinamiche del mercato del lavoro. Grazie a questo dataset, si possono studiare vari fattori legati alla formazione del capitale umano e a eventuali interventi per situazioni di problematicità.

Il lavoro di WP 3.3 si concentra invece sull'analisi delle competenze e sulla creazione di politiche che agevolino la transizione scuola-lavoro e riducano la disoccupazione giovanile, supportando così la sostenibilità a lungo termine della società.
In questo momento il WP si sta concentrando su un’indagine su circa 2000 individui riguardante l’allocazione del tempo libero di famiglie con figli e figli tra gli 0 e i 10 anni in due regioni italiane, la Campania e l’Emilia Romagna. La raccolta dati si concentra in particolare sul tempo libero all’interno della famiglia, sul lavoro retribuito e quello invece non retribuito come quello domestico. Questa differente allocazione di tempo influenza poi decisioni riguardanti alla partecipazione alla forza lavoro, stereotipi, congedi parentali, decisioni sul mettere su famiglia o no, lo sforzo mentale.

Uno dei risultati della ricerca mostra come il lavoro non retribuito, in Emilia Romagna, sia distribuito in maniera non uniforme rispetto ai giorni della settimana. Mentre questo aumenta nel weekend per gli uomini, sono le donne a spendere più di tre ore al giorno per svolgere queste mansioni. Il tempo libero delle donne, inoltre, è strettamente collegato alla cura dei figli durante la settimana: solo il 34 per cento di questo è infatti svolto senza bambini. Questo gender gap tende a scomparire durante il weekend.

Il lavoro del WP3.4 si concentra invece sul sondare il polso della popolazione riguardo la propria condizione economica, attraverso una Survey sulle aspettative dei consumatori (ISCE). Questo lavoro si basa sul raccogliere dati su variabili di tipo demografico, occupazionale, di reddito e ricchezza, consumo aspettative e credenze. In particolare l’ISCE ha lo scopo di fornire un’infrastruttura per ottenere una panoramica delle aspettative dei consumatori con elevata frequenza; fornire uno strumento per l’analisi delle policy; sperimentare sulle metodologie statistiche riguardanti le indagine campionarie e infine moduli appositi per la domanda di lavoro.
Questo lavoro è di fondamentale importanza per ottenere un quadro della situazione del paese per quel che riguarda i consumi e le aspettative economiche degli agenti. Nel campo economico, soprattutto quando è necessario comprendere che impatti avrà una policy o quali sono le tendenze del mercato del lavoro, tutto ciò è fondamentale. Pensiamo per un attimo all’opposto, cioè le previsioni meteo. Una persona che vuole prevedere il meteo da qui a una settimana non deve tenere conto delle aspettative degli agenti, cioè se preferiscono pioggia o sole, ma soltanto di variabili fisiche. Al contrario, consideriamo una situazione- come venne discussa nel 2020 per far fronte allo shock pandemico- di riduzione dell’IVA. Una tale policy si innesta necessariamente sulle aspettative degli agenti. Se questi infatti sanno che in un tempo relativamente breve vi sarà un calo dell’iva, rinvieranno i loro consumi. Senza considerare le aspettative degli agenti, quindi, le policy rischiano di rivelarsi inefficaci o addirittura dannose.
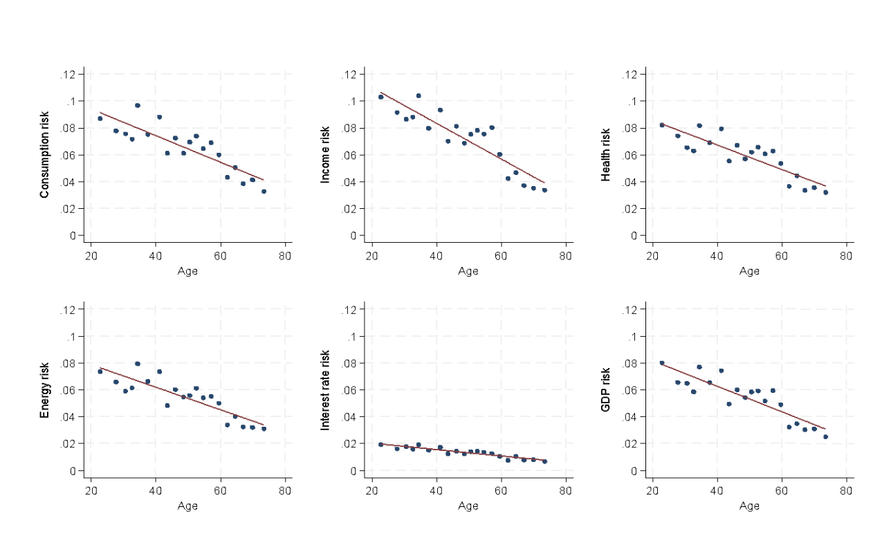
Questo tipo di analisi, svolta dall’Università di Napoli assieme ad ANIA, è rivolta a individui residente in Italia tra i 18 e i 75 anni. Quanto emerso dalle rilevazioni mostra una variabilità temporale. Gli indicatori, come la crescita dei consumi, hanno mostrato un aumento, in media, con un calo invece della deviazione standard nel corso delle varie indagini. Emerge però anche una forte componente di variabilità demografica.

Gli indicatori, come mostra la figura sopra, tendono a essere negativamente correlati con l’età.
L’Italia registra una copertura assicurativa insufficiente sui nuovi rischi sociali e climatici, con una protezione limitata per famiglie e imprese. Il workshop ha offert...
2026
2026
Insurance, climate, health, financial stability: a Roma il workshop Grins del 21 gennaio
Workshop dedicato alla presentazione e discussione delle più recenti ricerche sviluppate nell’ambito dei progetti Grins e AGE-IT.
2026
2026
Resilienza agli shock e riduzione delle disuguaglianze. Il Convegno finale dello Spoke 3 di Grins
Il 15 e il 16 gennaio 2026 presso il Centro Congressi federiciano di via Partenope 36 saranno presentati i risultati principali dello Spoke 3 del progetto PNRR Grins.
In Italia, nonostante l’invecchiamento demografico, conoscenza e willingness to pay verso le polizze LTC restano basse. Pesano limiti economici, scarsa informazione, sfid...
L’indagine evidenzia un clima di cautela e incertezza, con aspettative più pessimistiche rispetto alle previsioni ufficiali: si temono una contrazione del PIL, un aumento...
Le aspettative pensionistiche degli italiani secondo l’indagine ANIA-UniNa
La nota analizza le aspettative pensionistiche degli italiani: età prevista per il pensionamento e reddito atteso. La sicurezza nella vecchiaia è vista come responsabilit...
Quali sono le aspettative economiche dei consumatori italiani?
Secondo la nota mensile di luglio di ANIA e Università di Napoli Federico II, prevalgono incertezza e pessimismo sull’economia nazionale, attese in calo per reddito e tas...
Risparmio in calo, giovani penalizzati: le sfide per una società resiliente
Nell’episodio 55 di Focus ESG, il prof. Tullio Jappelli ha affrontato il tema del risparmio e della crescente difficoltà, soprattutto per i giovani, di accantonare risors...
L'analisi approfondisce le cause del risparmio precauzionale degli italiani, ossia l'accumulazione di risorse finanziarie finalizzata a far fronte a shock economici impre...
Quanto ne sanno davvero gli italiani di IA? E come stanno reagendo alla sua diffusione, soprattutto in termini di lavoro, produttività e inclusione sociale?
Le aspettative dei consumatori italiani per il 2025
Rispetto alle principali variabili macroeconomiche e microeconomiche. Uno studio di ANIA e Università di Napoli Federico II.
Rischio idrogeologico: quanto sono disposti a pagare gli italiani per prevenirlo?
Dalla consapevolezza alla partecipazione economica: l’esperimento ISCE mostra il potenziale (e i limiti) del contributo volontario contro i disastri ambientali
2025
Lo Spoke 3 annuncia il quarto workshop online legato alle attività del Work Package 3.1 “Assistenza sanitaria sostenibile”, di cui saranno presentati i lavori di ricerca....
2025
Terzo workshop online di Spoke 3, WP 3.4 “Resilienza finanziaria”
Lo Spoke 3, dedicato alla Sostenibilità delle famiglie e guidato dall’Università di Napoli Federico II, annuncia il terzo workshop online legato alle attività del Work Pa...
2025
Secondo workshop online di Spoke 3, WP 3.2 “Capitale umano”
Continua il ciclo di workshop dello Spoke 3 sulla Sostenibilità delle famiglie. È il turno del Work Package 3.2 “Capitale Umano”. L’incontro online, che si terrà il 7 mar...
La Nota mensile di Spoke 3, realizzata da ANIA e Università di Napoli Federico II, evidenzia una scarsa alfabetizzazione finanziaria per un terzo della popolazione italia...
2025
Individui e famiglie nel mercato del lavoro. Il 21 febbraio il primo workshop di Spoke 3, WP 3.3
Il workshop, organizzato da Roberto Nisticò (Università di Napoli), esplora le disuguaglianze di genere e le dinamiche familiari attraverso temi chiave come violenza dome...
Quale la relazione tra tra efficienza energetica e prezzi degli immobili in Italia? Ce ne parla uno studio di Prometeia per il gruppo di lavoro sulla Resilienza Finanziar...
Le aspettative dei consumatori italiani nella nota mensile di gennaio 2025 di Spoke 3
A cura di: Donatella Albano, Chiara Gesmundo, Luigi Guiso, Tullio Jappelli e Carlo Savino.
2025
2025
Un nuovo ciclo di incontri per il gruppo di lavoro sulla Sostenibilità delle Famiglie
Da febbraio a marzo, un percorso di approfondimento sulla qualità della vita delle famiglie italiane
Le aspettative dei consumatori italiani nella nota mensile di dicembre 2024 di Spoke 3
A cura di: Donatella Albano, Chiara Gesmundo, Luigi Guiso, Tullio Jappelli e Carlo Savino.
Le aspettative dei consumatori italiani nella nota mensile di Spoke 3
Migliorano le aspettative sulla crescita delle principali grandezze macroeconomiche: PIL, inflazione, disoccupazione, tasso di interesse, prezzo atteso delle abitazioni.
Gli italiani e le assicurazioni sanitarie. I risultati della nota mensile di Spoke 3
La nota analizza l’attitudine dei cittadini italiani nei confronti delle coperture sanitarie integrative, attraverso lo studio dei fattori che ne determinano il possesso.
La nota propone un confronto intertemporale tra le aspettative sulla crescita delle grandezze microeconomiche più comuni: reddito individuale, consumi totali, consumi ene...
La nota propone un confronto intertemporale tra le aspettative sulla crescita delle grandezze macroeconomiche più comuni: PIL, inflazione, disoccupazione, tasso di intere...
Sono analizzate le aspettative dei consumatori italiani rispetto a eventi molto gravi di origine naturale, politica o connessi ad innovazioni tecnologiche che potrebbero ...
Lo studio di Maria Cristina Barbieri Góes, Piera Bello, Annalisa Cristini e Federica Maria Origo dell’Università di Bergamo per lo Spoke 3.
Lo studio di Tullio Jappelli e Luigi Guiso raccoglie nuove evidenze sulla disponibilità delle persone a sostenere finanziariamente le misure di prevenzione e mitigazione ...
Aspettative dei consumatori italiani: rilasciata la seconda nota mensile di Ania e UniNa
La nota di giugno 2024 è a cura di un gruppo di lavoro congiunto di ANIA (Associazione Nazionale fra le Imprese Assicuratrici) e Dipartimento di Scienze Economiche e Stat...
A cura di un gruppo di lavoro congiunto di ANIA (Associazione Nazionale fra le Imprese Assicuratrici) e Dipartimento di Scienze Economiche e Statistiche dell'Università d...
Il lavoro dello Spoke 3 tra disuguaglianze, mobilità sociale e resilienza delle famiglie italiane.
Un excursus sui temi e sulle attività dello Spoke 3, insieme al suo coordinatore, il prof. Tullio Jappelli, professore ordinario di Economia Politica all'Università di Na...
Aperto il bando a cascata dello Spoke 3 con il coordinamento dell'Università di Napoli
2.5 Milioni di euro per la ricerca sull'impatto degli stereotipi nei processi educativi, le competenze non cognitive dei bambini e il capitale umano dei migranti.
2023
2023
L'Università di Napoli ospita il kick-off meeting dello Spoke 3
UniNa ospita il kick-off meeting dello Spoke 3, di cui è capofila. Il 26 e 27 ottobre 2023 il primo incontro dedicato alla sostenibilità delle famiglie.
Fondazione GRINS
Growing Resilient,
Inclusive and Sustainable
Galleria Ugo Bassi 1, 40121, Bologna, IT
C.F/P.IVA 91451720378
Finanziato dal Piano Nazionale di Ripresa e Resilienza (PNRR), Missione 4 (Infrastruttura e ricerca), Componente 2 (Dalla Ricerca all’Impresa), Investimento 1.3 (Partnership Estese), Tematica 9 (Sostenibilità economica e finanziaria di sistemi e territori).


